首 页
走进曲阳
政务频道
政府信息公开
政务服务
政民互动
专题专栏
当前位置:
首页
>>
归档栏目
>>
住房保障
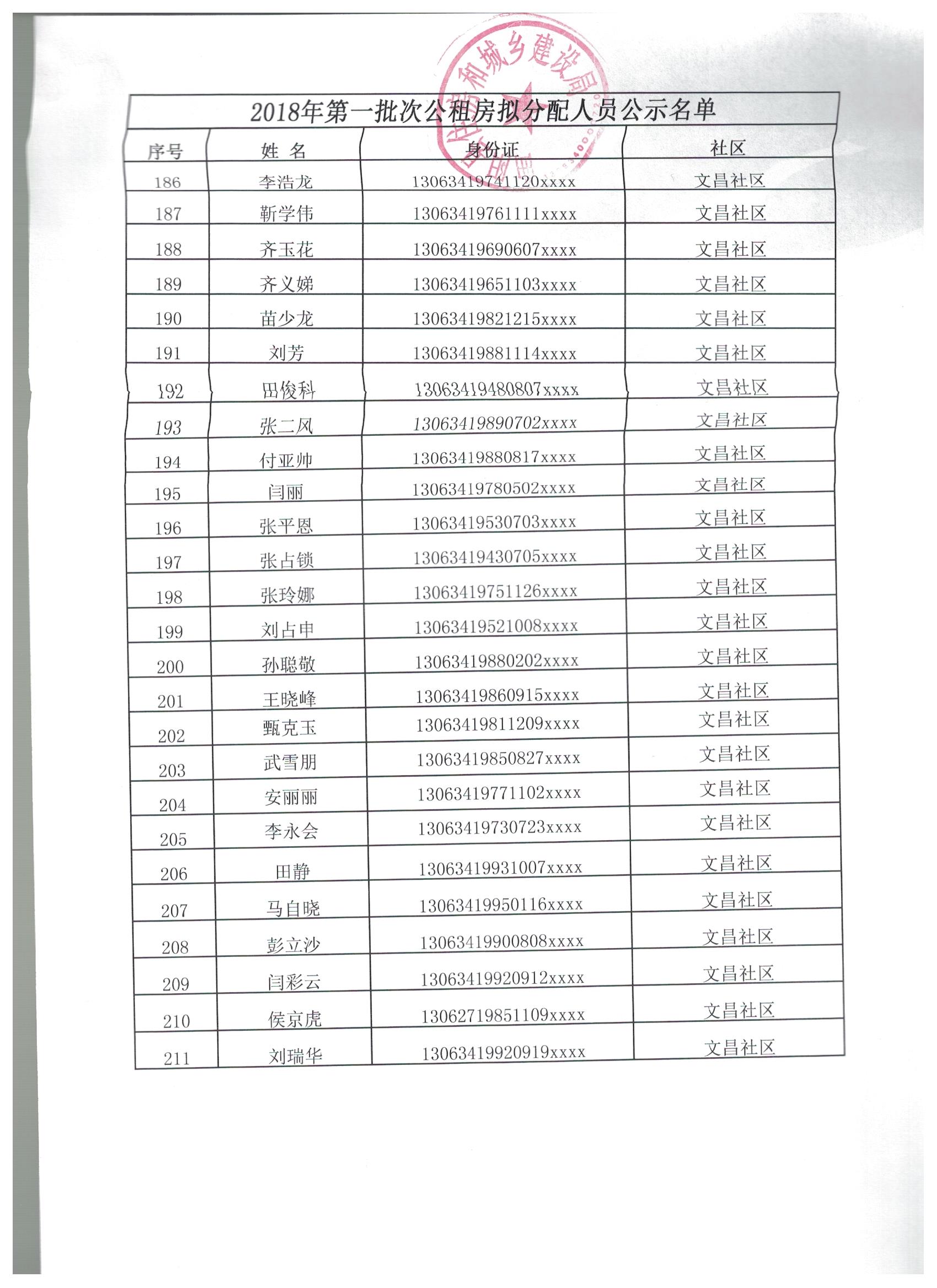
2018年第一批次公租房拟分配人员公示名单(2)
发布时间:2018-03-20 信息发布人:管理员
【字体:
大
中
小
】
打印
网站地图
主办单位:曲阳县人民政府办公室主办
违法和不良信息举报电话:0312-4212301 邮箱:xinxike999@163.com
冀公网安备 13063402000055号
冀icp备08102160号-2
网站标识码:1306340005